The goal of splinetrials is to analyze longitudinal clinical data applying natural cubic splines to a continuous time variable.
Installation
Install this package from CRAN with:
install.packages("splinetrials")You can also install the development version of splinetrials from GitHub with:
# install.packages("pak")
pak::pak("NikKrieger/splinetrials")Overview
The NCS model is a longitudinal mixed model of repeated measures (MMRM) with random effects marginalized out, additive baseline covariates, and time parameterized using natural cubic splines.
Demo
Data
The package functions accept data sets with one row per patient per scheduled visit (including baseline).
We’ll adapt the pbcseq data set in the survival package:
pbcseq_mod <-
survival::pbcseq |>
mutate(
years = day / 365.25,
visit_index =
bin_timepoints( # splinetrials helper function yielding an ordered factor
observed = years,
scheduled = c(0, 0.5, 1:round(max(years))),
labels = c("Baseline", paste(c(0.5, 1:round(max(years))), "yr"))
),
sch_visit_years = c(0, 0.5, 1:round(max(years)))[as.numeric(visit_index)],
sch_visit_label = as.character(visit_index),
trt = factor(trt, labels = c("control", "treatment"))
) |>
arrange(id, visit_index, abs(years - sch_visit_years)) |>
distinct(id, visit_index, .keep_all = TRUE) |>
select(id, visit_index:sch_visit_label, trt, everything()) |>
as_tibble()
pbcseq_mod
#> # A tibble: 1,906 × 23
#> id visit_index sch_visit_years sch_visit_label trt futime status age
#> <int> <ord> <dbl> <chr> <fct> <int> <int> <dbl>
#> 1 1 Baseline 0 Baseline treatm… 400 2 58.8
#> 2 1 0.5 yr 0.5 0.5 yr treatm… 400 2 58.8
#> 3 2 Baseline 0 Baseline treatm… 5169 0 56.4
#> 4 2 0.5 yr 0.5 0.5 yr treatm… 5169 0 56.4
#> 5 2 1 yr 1 1 yr treatm… 5169 0 56.4
#> 6 2 2 yr 2 2 yr treatm… 5169 0 56.4
#> 7 2 5 yr 5 5 yr treatm… 5169 0 56.4
#> 8 2 6 yr 6 6 yr treatm… 5169 0 56.4
#> 9 2 7 yr 7 7 yr treatm… 5169 0 56.4
#> 10 2 8 yr 8 8 yr treatm… 5169 0 56.4
#> # ℹ 1,896 more rows
#> # ℹ 15 more variables: sex <fct>, day <int>, ascites <int>, hepato <int>,
#> # spiders <int>, edema <dbl>, bili <dbl>, chol <int>, albumin <dbl>,
#> # alk.phos <int>, ast <dbl>, platelet <int>, protime <dbl>, stage <int>,
#> # years <dbl>Notice how the helper function splinetrials::bin_timepoints() creates the visit index, categorizing follow-up visits based on when they were scheduled (see ?survival::pbcseq).
Basic NCS analysis
Once we have these variables created, we are ready for a full NCS analysis using ncs_analysis(). This produces a table of summary statistics, including LS means and confidence intervals:
pbc_spline_analysis <-
ncs_analysis(
data = pbcseq_mod,
response = alk.phos,
subject = id,
arm = trt,
control_group = "control",
time_observed_continuous = years,
time_observed_index = visit_index,
time_scheduled_continuous = sch_visit_years,
time_scheduled_label = sch_visit_label,
covariates = ~ age + sex + bili + albumin + ast + protime
)
#> → The covariance structure `"us"` did not successfully converge.
#> Warning in mmrm::mmrm(method = "Satterthwaite", formula = alk.phos ~
#> spline_fn(years)[, : Divergence with optimizer L-BFGS-B due to problems:
#> L-BFGS-B needs finite values of 'fn'
#> mmrm() registered as emmeans extension
pbc_spline_analysis
#> # A tibble: 32 × 32
#> arm time n est sd se lower upper response_est response_se
#> <fct> <chr> <int> <dbl> <dbl> <dbl> <dbl> <dbl> <dbl> <dbl>
#> 1 control Baseline 154 1943. 2102. 169. 1611. 2275. 1424. 77.0
#> 2 control 0.5 yr 131 1574. 1134. 99.1 1379. 1768. 1377. 71.9
#> 3 control 1 yr 130 1543. 934. 81.9 1382. 1703. 1330. 68.6
#> 4 control 2 yr 111 1481. 1076. 102. 1281. 1681. 1243. 67.2
#> 5 control 3 yr 83 1252. 662. 72.7 1110. 1395. 1169. 69.1
#> 6 control 4 yr 75 1182. 716. 82.7 1020. 1344. 1107. 71.0
#> 7 control 5 yr 61 1250. 902. 115. 1023. 1476. 1058. 71.1
#> 8 control 6 yr 56 1073. 589. 78.7 919. 1228. 1019. 69.4
#> 9 control 7 yr 47 1022. 601. 87.6 851. 1194. 989. 66.6
#> 10 control 8 yr 37 1021. 554. 91.1 842. 1199. 968. 64.4
#> # ℹ 22 more rows
#> # ℹ 22 more variables: response_df <dbl>, response_lower <dbl>,
#> # response_upper <dbl>, change_est <dbl>, change_se <dbl>, change_df <dbl>,
#> # change_lower <dbl>, change_upper <dbl>, change_test_statistic <dbl>,
#> # change_p_value <dbl>, diff_est <dbl>, diff_se <dbl>, diff_df <dbl>,
#> # diff_lower <dbl>, diff_upper <dbl>, diff_test_statistic <dbl>,
#> # diff_p_value <dbl>, percent_slowing_est <dbl>, …Note that the above warnings are expected, as splinetrials and mmrm::mmrm() iterate through different covariance structures and optimizers until a converging model is achieved.
We can plot the resulting model against the data by feeding the resulting data set to ncs_plot_means():
p1 <- ncs_plot_means(pbc_spline_analysis)
p1
Methods
The parameterization has additive effects and pairwise interactions for study arm and time point (i.e., spline basis functions). The model is constrained so that all study arms have equal means at baseline: notice that the same line passes through both the control group’s and the treatment group’s modeled mean baseline estimates:
p1 +
geom_hline(
aes(yintercept = response_est),
data = filter(pbc_spline_analysis, time == "Baseline"),
linetype = 3
)
NCS subgroup analysis
Run a NCS analysis with subgroups using ncs_analysis_subgroup(). The data set should include a categorical variable to indicate subgroup membership. In this case, the sex variable serves as the subgroup.
subgroup_analysis_results <-
ncs_analysis_subgroup(
data = pbcseq_mod,
response = alk.phos,
subject = id,
arm = trt,
control_group = "control",
subgroup = sex,
subgroup_comparator = "f",
time_observed_continuous = years,
time_observed_index = visit_index,
time_scheduled_continuous = sch_visit_years,
time_scheduled_label = sch_visit_label,
covariates = ~ age + bili + albumin + ast + protime,
cov_structs = "ar1h",
return_models = TRUE
)
#> mmrm() registered as car::Anova extension
#> Warning in mmrm::mmrm(formula = alk.phos ~ spline_fn(years)[, 1] +
#> spline_fn(years)[, : Divergence with optimizer L-BFGS-B due to problems:
#> L-BFGS-B needs finite values of 'fn'
#> Warning in mmrm::mmrm(formula = alk.phos ~ spline_fn(years)[, 1] +
#> spline_fn(years)[, : Divergence with optimizer L-BFGS-B due to problems:
#> L-BFGS-B needs finite values of 'fn'This function returns a list of multiple analyses, which are better looked at one at a time:
Between subgroups and within subgroups
The between and within tables contain the same data except for the treatment effect columns. Note also that they are sorted differently.
between
The between table calculates treatment effects between the subgroups within each study arm:
subgroup_analysis_results$between
#> # A tibble: 62 × 30
#> arm time subgroup n est sd se lower upper response_est
#> <fct> <chr> <fct> <int> <dbl> <dbl> <dbl> <dbl> <dbl> <dbl>
#> 1 control Baseline f 139 1966. 2066. 175. 1622. 2309. 1429.
#> 2 control Baseline m 15 1734. 2478. 640. 480. 2989. 1640.
#> 3 treatment Baseline f 137 1950. 2151. 184. 1590. 2310. 1429.
#> 4 treatment Baseline m 21 2486. 2385. 521. 1466. 3506. 1640.
#> 5 control 0.5 yr f 119 1619. 1162. 106. 1410. 1827. 1377.
#> 6 control 0.5 yr m 12 1134. 714. 206. 730. 1538. 1572.
#> 7 treatment 0.5 yr f 108 1348. 818. 78.7 1194. 1502. 1385.
#> 8 treatment 0.5 yr m 17 1646. 821. 199. 1256. 2037. 1592.
#> 9 control 1 yr f 118 1575. 944. 86.9 1405. 1745. 1325.
#> 10 control 1 yr m 12 1229. 796. 230. 778. 1679. 1506.
#> # ℹ 52 more rows
#> # ℹ 20 more variables: response_se <dbl>, response_df <dbl>,
#> # response_lower <dbl>, response_upper <dbl>, change_est <dbl>,
#> # change_se <dbl>, change_df <dbl>, change_lower <dbl>, change_upper <dbl>,
#> # change_test_statistic <dbl>, change_p_value <dbl>, diff_subgroup_est <dbl>,
#> # diff_subgroup_se <dbl>, diff_subgroup_df <dbl>, diff_subgroup_lower <dbl>,
#> # diff_subgroup_upper <dbl>, diff_subgroup_test_statistic <dbl>, …
within
The within table calculates treatment effects between each study arm within each subgroup:
subgroup_analysis_results$within
#> # A tibble: 62 × 33
#> arm time subgroup n est sd se lower upper response_est
#> <fct> <chr> <fct> <int> <dbl> <dbl> <dbl> <dbl> <dbl> <dbl>
#> 1 control Baseline f 139 1966. 2066. 175. 1622. 2309. 1429.
#> 2 control 0.5 yr f 119 1619. 1162. 106. 1410. 1827. 1377.
#> 3 control 1 yr f 118 1575. 944. 86.9 1405. 1745. 1325.
#> 4 control 2 yr f 100 1527. 1109. 111. 1310. 1744. 1230.
#> 5 control 3 yr f 74 1271. 685. 79.6 1115. 1427. 1151.
#> 6 control 4 yr f 68 1193. 743. 90.2 1016. 1369. 1088.
#> 7 control 5 yr f 54 1297. 949. 129. 1044. 1550. 1040.
#> 8 control 6 yr f 49 1093. 619. 88.5 920. 1266. 1005.
#> 9 control 7 yr f 40 1049. 641. 101. 850. 1247. 981.
#> 10 control 8 yr f 31 1088. 575. 103. 885. 1290. 969.
#> # ℹ 52 more rows
#> # ℹ 23 more variables: response_se <dbl>, response_df <dbl>,
#> # response_lower <dbl>, response_upper <dbl>, change_est <dbl>,
#> # change_se <dbl>, change_df <dbl>, change_lower <dbl>, change_upper <dbl>,
#> # change_test_statistic <dbl>, change_p_value <dbl>, diff_arm_est <dbl>,
#> # diff_arm_se <dbl>, diff_arm_df <dbl>, diff_arm_lower <dbl>,
#> # diff_arm_upper <dbl>, diff_arm_test_statistic <dbl>, …Plotting the means
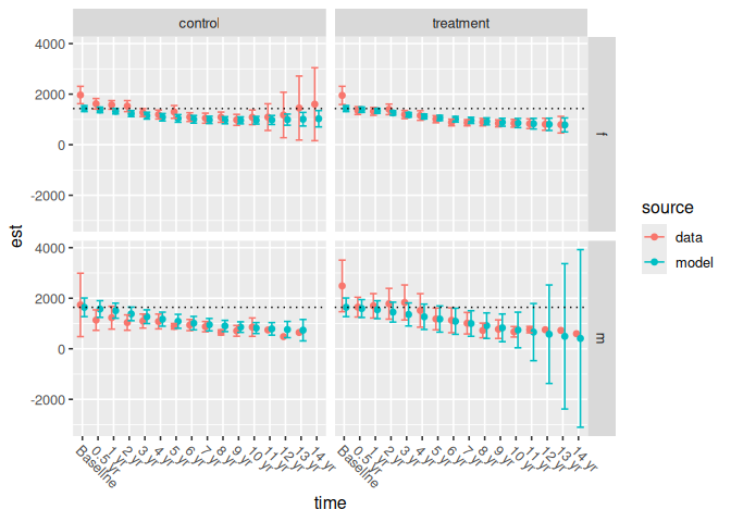
We can supply either of the above result entries (i.e., between or within) to ncs_plot_means_subgroup(). This function creates a grid of plots that again depict the actual and modeled mean responses at each timepoint. Each column of plots contains a study arm and each row of plots contains a subgroup.
We again include horizontal lines to demonstrate that the study arms all have the same modeled mean baseline estimate:
ncs_plot_means_subgroup(subgroup_analysis_results$between) +
geom_hline(
aes(yintercept = response_est),
data = filter(subgroup_analysis_results$between, time == "Baseline"),
linetype = 3,
lwd = 0.5
)
Type-III ANOVA
type3 contains a Type-III ANOVA on the main analysis model’s terms:
subgroup_analysis_results$type3
#> # A tibble: 14 × 6
#> effect chisquare_test_stati…¹ df p_value correlation optimizer
#> <chr> <dbl> <int> <dbl> <chr> <chr>
#> 1 spline_fn(years)[… 30.2 1 3.84e-8 heterogene… mmrm+tmb
#> 2 spline_fn(years)[… 13.5 1 2.43e-4 heterogene… mmrm+tmb
#> 3 sex 1.26 1 2.62e-1 heterogene… mmrm+tmb
#> 4 age 23.5 1 1.24e-6 heterogene… mmrm+tmb
#> 5 bili 6.08 1 1.37e-2 heterogene… mmrm+tmb
#> 6 albumin 7.16 1 7.45e-3 heterogene… mmrm+tmb
#> 7 ast 2.95 1 8.57e-2 heterogene… mmrm+tmb
#> 8 protime 1.76 1 1.85e-1 heterogene… mmrm+tmb
#> 9 spline_fn(years)[… 1.20 1 2.74e-1 heterogene… mmrm+tmb
#> 10 spline_fn(years)[… 2.70 1 1.01e-1 heterogene… mmrm+tmb
#> 11 spline_fn(years)[… 0.000212 1 9.88e-1 heterogene… mmrm+tmb
#> 12 spline_fn(years)[… 1.29 1 2.56e-1 heterogene… mmrm+tmb
#> 13 spline_fn(years)[… 0.0588 1 8.08e-1 heterogene… mmrm+tmb
#> 14 spline_fn(years)[… 0.0164 1 8.98e-1 heterogene… mmrm+tmb
#> # ℹ abbreviated name: ¹chisquare_test_statisticSubgroup interaction test
The optional interaction result contains an ANOVA comparing the original model fit to a reduced version:
subgroup_analysis_results$interaction
#> model aic bic loglik -2*log(l) test_statistic df
#> 1 reduced model 29201.78 29314.07 -14570.89 29141.78 NA NA
#> 2 full model 29205.64 29325.42 -14570.82 29141.64 0.1351363 2
#> p_value correlation optimizer
#> 1 NA heterogeneous autoregressive order 1 mmrm+tmb
#> 2 0.934664 heterogeneous autoregressive order 1 mmrm+tmb
return_models = TRUE
Lastly, the user can optionally obtain the original analysis model object as well as those used for the subgroup interaction test, which are returned as the analysis_model, full, and reduced entries. These are mmrm objects created using mmrm::mmrm(). Here is analysis_model, for example:
subgroup_analysis_results$analysis_model
#> mmrm fit
#>
#> Formula: alk.phos ~ spline_fn(years)[, 1] + spline_fn(years)[, 2] + sex +
#> age + bili + albumin + ast + protime + spline_fn(years)[,
#> 1]:sex + spline_fn(years)[, 2]:sex + spline_fn(years)[, 1]:trt +
#> spline_fn(years)[, 2]:trt + spline_fn(years)[, 1]:sex:trt +
#> spline_fn(years)[, 2]:sex:trt
#> Data: dplyr::mutate(pbcseq_mod, sex = factor(sex, c("f", "m"))) (used
#> 1860 observations from 312 subjects with maximum 16 timepoints)
#> Covariance: heterogeneous auto-regressive order one (17 variance parameters)
#> Inference: REML
#> Deviance: 29002.11
#>
#> Coefficients:
#> (Intercept) spline_fn(years)[, 1]
#> 2721.322358 -815.000265
#> spline_fn(years)[, 2] sexm
#> -217.027228 210.533944
#> age bili
#> -18.112882 22.507712
#> albumin ast
#> -95.578177 1.296681
#> protime spline_fn(years)[, 1]:sexm
#> -28.763036 -458.009692
#> spline_fn(years)[, 2]:sexm spline_fn(years)[, 1]:trttreatment
#> -478.555152 -53.251556
#> spline_fn(years)[, 2]:trttreatment spline_fn(years)[, 1]:sexm:trttreatment
#> -299.228629 113.096456
#> spline_fn(years)[, 2]:sexm:trttreatment
#> -78.148527
#>
#> Model Inference Optimization:
#> Converged with code 0 and message: convergence: rel_reduction_of_f <= factr*epsmchAppendix: details of the analysis results tables
Basic NCS analysis
The basic NCS analysis results table pbc_spline_analysis has one row per study arm per timepoint of interest and the following columns:
-
arm: study arm, i.e. treatment group -
time: discrete visit time labels from thetime_scheduled_labelcolumn in the data. -
n: number of non-missing observations. -
est: observed mean response in the data. -
sd: observed standard deviation of the response in the data. -
se: observed standard error of the response in the data (justse / sqrt(n)). -
lower: lower bound of an observed 95% confidence interval in the data. -
upper: upper bound of an observed 95% confidence interval in the data. -
response_est: LS mean of the response. -
response_se: standard error of the LS mean of the response. -
response_df: degrees of freedom of the LS mean of the response. -
response_lower: lower 95% confidence bound of the LS mean of the response. -
response_upper: upper 95% confidence bound of the LS mean of the response. -
change_est,change_lower,change_upper,change_se,change_df: like the analogousresponse_*columns, but for LS mean change from baseline. -
change_test_statistic: test statistic of a two-sided test that the LS mean change from baseline is not equal to 0, at a significance level of 5%. -
change_p_value: same aschange_test_statistic, but the p-value instead of the test statistic. -
diff_est,diff_se,diff_df,diff_lower,diff_upper,diff_test_statistic,diff_p_value: same as the analogouschange_*columns, but for treatment differences. -
percent_slowing_estLS mean of percent slowing (on the percentage scale). -
percent_slowing_lower,percent_slowing_upper: a conservative approximation to a confidence interval on percent slowing. Assumes uncorrelated changes from baseline. -
correlation: correlation structure of the whole model. -
optimizer: optimization algorithm for the whole model.
Subgroup analysis
between and within tables
The between-subgroup and within-subgroup tables have one row per study arm per timepoint per subgroup and the following columns:
-
arm: study arm, i.e. treatment group -
time: discrete visit time labels from thetime_scheduled_labelcolumn in the data. -
subgroup: subgroup level -
n: number of non-missing observations. -
est: observed mean response in the data. -
sd: observed standard deviation of the response in the data. -
se: observed standard error of the response in the data (justse / sqrt(n)). -
lower: lower bound of an observed 95% confidence interval in the data. -
upper: upper bound of an observed 95% confidence interval in the data. -
response_est: LS mean of the response. -
response_se: standard error of the LS mean of the response. -
response_df: degrees of freedom of the LS mean of the response. -
response_lower: lower 95% confidence bound of the LS mean of the response. -
response_upper: upper 95% confidence bound of the LS mean of the response. -
change_est,change_lower,change_upper,change_se,change_df: like the analogousresponse_*columns, but for LS mean change from baseline. -
change_test_statistic: test statistic of a two-sided test that the LS mean change from baseline is not equal to 0, at a significance level of 5%. -
change_p_value: same aschange_test_statistic, but the p-value instead of the test statistic. -
diff_arm_est,diff_arm_se,diff_arm_df,diff_arm_lower,diff_arm_upper,diff_arm_test_statistic,diff_arm_p_value: same as the analogouschange_*columns, but for treatment differences. -
diff_subgroup_est,diff_subgroup_se,diff_subgroup_df,diff_subgroup_lower,diff_subgroup_upper,diff_subgroup_test_statistic,diff_subgroup_p_value: same as the analogous*_arm_*columns, but for the subgroup differences. -
percent_slowing_estLS mean of percent slowing (on the percentage scale). -
percent_slowing_lower,percent_slowing_upper: a conservative approximation to a confidence interval on percent slowing. Assumes uncorrelated changes from baseline. -
correlation: correlation structure of the analysis subgroup model. -
optimizer: optimizer of the analysis subgroup model.
type3 column descriptions
The Type-III ANOVA table has one row per effect in the main analysis model and the following columns:
-
effect: the model effect in the main analysis model -
chisquare_test_statistic: Chi-squared test statistic for the model term’s significance -
df: degrees of freedom -
p_value: p-value for the test of the model term’s significance -
correlation: correlation structure of the analysis subgroup model. -
optimizer: optimizer of the analysis subgroup model.
interaction column descriptions
The subgroup interaction test table will have two rows: the first will represent the reduced model and the second will depict the full model. Likelihood ratio test results will only be in the latter row. The table will contain the following columns:
-
model: the model, either full or reduced. -
df: degrees of freedom -
aic: Akaike Information Criterion -
bic: Bayesian Information Criterion -
loglik: log likelihood -
test_statistic: test statistic of the likelihood ratio test. -
p_value: p-value of the likelihood ratio test. -
correlation: correlation structures of the full and reduced models of the interaction test. -
optimizer: optimizers of the full and reduced models of the interaction test.